`
kaksha.dev
Problems to solve.
Find median from a data stream
-
Reference Solution
kth largest element in the array
-
Reference Solution
Merge K-Sorted Lists
-
Reference Solution
Rockabye Tobby
-
Reference Solution
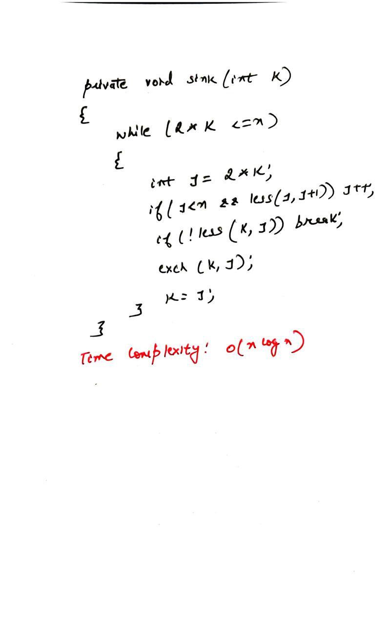
Reference Implementation
Basic Implementation -
Source
Generic Impementation -
Source
Tests